晶振中心
進口晶振
- SMI晶振
- KDS晶振
- 精工晶振
- 西鐵城晶振
- 愛普生晶振
- 村田晶振
- 日本NDK晶體
- 京瓷晶振
- 臺灣TXC晶振
- 泰藝晶振
- 亞陶晶振
- 希華晶體
- 臺灣津綻晶體
- 美國CTS石英晶振
- 加高晶體
- 大河晶振
- 鴻星晶振
- 富士石英晶體
- AKER晶振
- Lihom晶振
- NAKA晶振
- NKG晶振
- NJR晶振
- Sunny晶振
石英晶體諧振器
歐美晶振
- Abracon晶振
- ECS晶振
- Golledge晶振
- ILSI晶振
- FOX晶振
- fujicom晶振
- AEK晶振
- CRYSTEK晶振
- interquip晶振
- Geyer晶振
- quartzcom晶振
- qantek晶振
- EUROQUARTZ晶振
- quarztechnik晶振
- Cardinal晶振
- FRE-TECH晶振
- KVG晶振
- wi2wi晶振
- AEL晶振
- Transko晶振
- suntsu晶振
- mmdcomp晶振
- MERCURY晶振
- MTRONPTI晶振
- RALTRON晶振
- Microcrystal晶振
- SITIME晶振
- IDT晶振
- Pletronics晶振
- STATEK晶振
- Rakon晶振
- ConnorWinfield晶振
- JAUCH晶振
- VECTRON晶振
- Greenray晶振
- ECLIPTEK晶振
- ACT晶振
- MTI-milliren晶振
- Rubyquartz晶振
- Oscilent晶振
- SHINSUNG晶振
- ITTI晶振
- PDI晶振
- IQD晶振
- Microchip晶振
- Silicon晶振
- Fortiming晶振
- CORE晶振
- NIPPON晶振
- NICKC晶振
- QVS晶振
- Bomar晶振
- Bliley晶振
- GED晶振
- FILTRONETICS晶振
- STD晶振
- Q-Tech晶振
- Anderson晶振
- Wenzel晶振
- NEL晶振
- EM晶振
- PETERMANN晶振
- FCD-Tech晶振
- HEC晶振
- FMI晶振
- Macrobizes晶振
- AXTAL晶振
- ARGO晶振
- Skyworks晶振
- Renesas瑞薩晶振
數碼產品
智能家電
時計產品
車載產品
石英晶體振蕩器

IQD小體積貼片晶振,LFXTAL056055REEL,CFPX-180,車載導航6G晶振LFXTAL062461REEL,3225石英晶振,IQD伊克德晶振,進口晶振,型號:CFPX-180,編碼為:LFXTAL056055REEL,頻率:25.0000MHz 18PF SMD石英晶體,小體積晶振尺寸:3.2x2.5mm,標準3.2 x 2.5mm SMD晶體在陶瓷包裝,接縫密封金屬蓋,密封。四腳貼片晶振,無源晶振,石英晶振,石英晶體諧振器,較寬的工作溫度范圍,具有超小型,輕薄型,耐熱及耐環保特點。應用于:通訊設備,無線網絡,藍牙模塊,平板電腦,儀器儀表設備,汽車電子,車載導航,安防設備,醫療設備,導航儀,數碼電子等應用。

IQD小體積貼片晶振,LFXTAL056055REEL,CFPX-180,車載導航6G晶振LFXTAL062461REEL,3225石英晶振,參數表
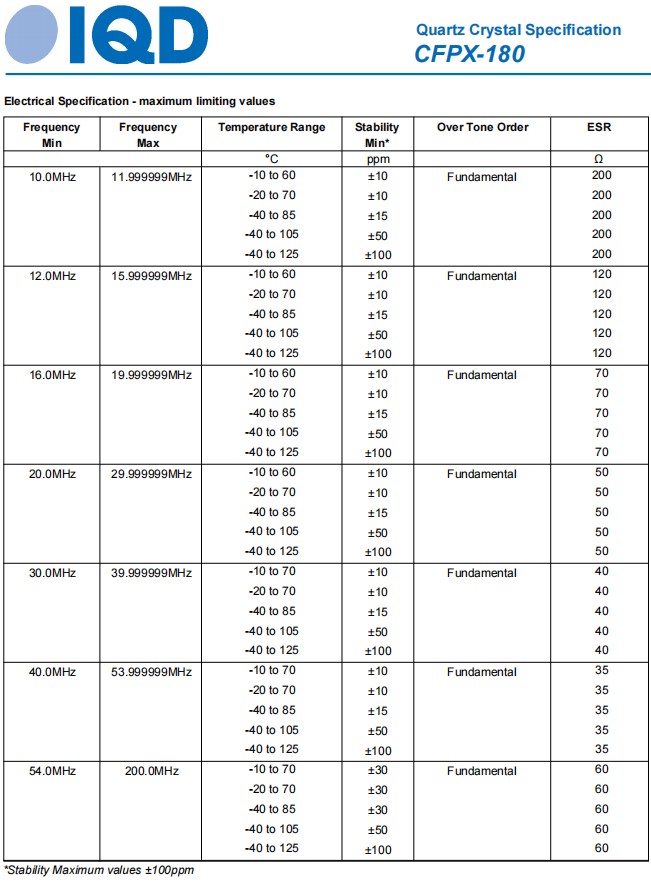
| Frequency Parameters | |
| Frequency | 25.000MHz |
| Frequency Tolerance | ±10.00ppm to ±50.00ppm |
| Tolerance Condition | @ 25℃ |
| Frequency Stability | ±10.00ppm to ±100.00ppm |
| Ageing | ±5ppm max per year @ 25℃ |
| Electrical Parameters | |
| Load Capacitance (CL) | 4.0pF to 75.0pF |
| Shunt Capacitance (C0) | 7pF max |
| Drive Level | 100uW max |
| Operating Temperature Ranges | -10 to 60℃ |
| -10 to 70℃ | |
| -20 to 70℃ | |
| -40 to 85℃ | |
| -40 to 105℃ | |
| -40 to 125℃ |
IQD小體積貼片晶振,LFXTAL056055REEL,CFPX-180,車載導航6G晶振LFXTAL062461REEL,3225石英晶振,尺寸圖
| 制造商零件編碼 | 制造商 | 系列 | 石英晶體諧振器 | 頻率 |
| LFXTAL082071RL3K | IQD晶振 | CFPX-180 | CRYSTAL 16.0000MHZ 8PF SMD | 16 MHz |
| LFXTAL059646REEL | IQD晶振 | CFPX-180 | CRYSTAL 30.0000MHZ 18PF SMD | 30 MHz |
| LFXTAL082070REEL | IQD晶振 | CFPX-180 | CRYSTAL 13.5600MHZ 8PF SMD | 13.56 MHz |
| LFXTAL035267REEL | IQD晶振 | CFPX-180 | CRYSTAL 24.5760MHZ 16PF SMD | 24.576 MHz |
| LFXTAL055293REEL | IQD晶振 | CFPX-180 | CRYSTAL 14.7456MHZ 18PF SMD | 14.7456 MHz |
| LFXTAL082074REEL | IQD晶振 | CFPX-180 | CRYSTAL 27.0000MHZ 8PF SMD | 27 MHz |
| LFXTAL064296REEL | IQD晶振 | CFPX-180 | CRYSTAL 16.0000MHZ 8PF SMD | 16 MHz |
| LFXTAL035268REEL | IQD晶振 | CFPX-180 | CRYSTAL 25.0000MHZ 16PF SMD | 25 MHz |
| LFXTAL059615REEL | IQD晶振 | CFPX-180 | CRYSTAL 16.3840MHZ 18PF SMD | 16.384 MHz |
| LFXTAL082076REEL | IQD晶振 | CFPX-180 | CRYSTAL 32.0000MHZ 8PF SMD | 32 MHz |
| LFXTAL059815REEL | IQD晶振 | CFPX-180 | CRYSTAL 27.1200MHZ 10PF SMD | 27.12 MHz |
| LFXTAL056346REEL | IQD晶振 | CFPX-180 | CRYSTAL 12.0000MHZ 18PF SMD | 12 MHz |
| LFXTAL083388RL3K | IQD晶振 | CFPX-180 | CRYSTAL 12.0000MHZ 12PF SMD | 12 MHz |
| LFXTAL078382REEL | IQD晶振 | CFPX-180 | CRYSTAL 32.0000MHZ 10PF SMD | 32 MHz |
| LFXTAL056055REEL | IQD晶振 | CFPX-180 | CRYSTAL 25.0000MHZ 18PF SMD | 25 MHz |
| LFXTAL055297REEL | IQD晶振 | CFPX-180 | CRYSTAL 13.0000MHZ 18PF SMD | 13 MHz |
| LFXTAL069944REEL | IQD晶振 | CFPX-180 | CRYSTAL 12.0000MHZ 15PF SMD | 12 MHz |
| LFXTAL035264REEL | IQD晶振 | CFPX-180 | CRYSTAL 16.0000MHZ 16PF SMD | 16 MHz |
| LFXTAL055951REEL | IQD晶振 | CFPX-180 | CRYSTAL 16.0000MHZ 18PF SMD | 16 MHz |
| LFXTAL035265REEL | IQD晶振 | CFPX-180 | CRYSTAL 20.0000MHZ 16PF SMD | 20 MHz |
| LFXTAL062461REEL | IQD晶振 | CFPX-180 | CRYSTAL 27.1200MHZ 10PF SMD | 27.12 MHz |
| LFXTAL060258REEL | IQD晶振 | CFPX-180 | CRYSTAL 32.0000MHZ 10PF SMD | 32 MHz |
| LFXTAL083387RL3K | IQD晶振 | CFPX-180 | CRYSTAL 10.0000MHZ 12PF SMD | 10 MHz |
| LFXTAL061677REEL | IQD晶振 | CFPX-180 | CRYSTAL 32.0000MHZ 12PF SMD | 32 MHz |
| LFXTAL058124REEL | IQD晶振 | CFPX-180 | CRYSTAL 24.0000MHZ 18PF SMD | 24 MHz |
| LFXTAL082078REEL | IQD晶振 | CFPX-180 | CRYSTAL 50.0000MHZ 8PF SMD | 50 MHz |
| LFXTAL059638REEL | IQD晶振 | CFPX-180 | CRYSTAL 20.0000MHZ 18PF SMD | 20 MHz |
| LFXTAL082069RL3K | IQD晶振 | CFPX-180 | CRYSTAL 12.0000MHZ 8PF SMD | 12 MHz |
| LFXTAL059643REEL | IQD晶振 | CFPX-180 | CRYSTAL 26.0000MHZ 18PF SMD | 26 MHz |
| LFXTAL082077REEL | IQD晶振 | CFPX-180 | CRYSTAL 40.0000MHZ 8PF SMD | 40 MHz |
| LFXTAL055474REEL | IQD晶振 | CFPX-180 | CRYSTAL 25.0000MHZ 16PF SMD | 25 MHz |
| LFXTAL083138RL3K | IQD晶振 | CFPX-180 | CRYSTAL 8.0000MHZ 12PF SMD | 8 MHz |
| LFXTAL058637RL3K | IQD晶振 | CFPX-180 | CRYSTAL 25.0000MHZ 12PF SMD | 25 MHz |
| LFXTAL059611RL3K | IQD晶振 | CFPX-180 | CRYSTAL 13.5600MHZ 18PF SMD | 13.56 MHz |
| LFXTAL072604REEL | IQD晶振 | CFPX-180 | CRYSTAL 25.0000MHZ 8PF SMD | 25 MHz |
| LFXTAL069882REEL | IQD晶振 | CFPX-180 | CRYSTAL 12.0000MHZ 10PF SMD | 12 MHz |
| LFXTAL053866REEL | IQD晶振 | CFPX-180 | CRYSTAL 48.0000MHZ 18PF SMD | 48 MHz |
| LFXTAL083408RL3K | IQD晶振 | CFPX-180 | CRYSTAL 25.0000MHZ 12PF SMD | 25 MHz |
| LFXTAL068911REEL | IQD晶振 | CFPX-180 | CRYSTAL 25.0000MHZ 18PF SMD | 25 MHz |
| LFXTAL083407RL3K | IQD晶振 | CFPX-180 | CRYSTAL 24.0000MHZ 12PF SMD | 24 MHz |
| LFXTAL057997REEL | IQD晶振 | CFPX-180 | 16.0000MHZ 10PF 無源晶振 | 16 MHz |
| LFXTAL057824REEL | IQD晶振 | CFPX-180 | CRYSTAL 27.0000MHZ 18PF SMD | 27 MHz |
| LFXTAL082075REEL | IQD晶振 | CFPX-180 | CRYSTAL 30.0000MHZ 8PF SMD | 30 MHz |
| LFXTAL072787REEL | IQD晶振 | CFPX-180 | CRYSTAL 50.0000MHZ 18PF SMD | 50 MHz |
| LFXTAL055299REEL | IQD晶振 | CFPX-180 | CRYSTAL 25.0000MHZ 18PF SMD | 25 MHz |
| LFXTAL082071REEL | IQD晶振 | CFPX-180 | CRYSTAL 16.0000MHZ 8PF SMD | 16 MHz |
| LFXTAL059613REEL | IQD晶振 | CFPX-180 | CRYSTAL 14.31818MHZ 18PF SMD | 14.31818 MHz |
| LFXTAL061647REEL | IQD晶振 | CFPX-180 | CRYSTAL 12.0000MHZ 12PF SMD | 12 MHz |
| LFXTAL070065REEL | IQD晶振 | CFPX-180 | CRYSTAL 24.0000MHZ 9PF SMD | 24 MHz |
| LFXTAL058149RL3K | IQD晶振 | CFPX-180 | CRYSTAL 24.0000MHZ 10PF SMD | 24 MHz |
| LFXTAL082072REEL | IQD晶振 | CFPX-180 | CRYSTAL 20.0000MHZ 8PF SMD | 20 MHz |
| LFXTAL054208RL3K | IQD晶振 | CFPX-180 | CRYSTAL 12.0000MHZ 10PF SMD | 12 MHz |
| LFXTAL059575REEL | IQD晶振 | CFPX-180 | CRYSTAL 24.5760MHZ 18PF SMD | 24.576 MHz |
| LFXTAL035269REEL | IQD晶振 | CFPX-180 | CRYSTAL 30.0000MHZ 16PF SMD | 30 MHz |
| LFXTAL035503REEL | IQD晶振 | CFPX-180 | CRYSTAL 16.3840MHZ 16PF SMD | 16.384 MHz |
| LFXTAL069377REEL | IQD晶振 | CFPX-180 | CRYSTAL 32.0000MHZ 18PF SMD | 32 MHz |
| LFXTAL060843REEL | IQD晶振 | CFPX-180 | CRYSTAL 50.0000MHZ 10PF SMD | 50 MHz |
| LFXTAL035266REEL | IQD晶振 | CFPX-180 | CRYSTAL 24.0000MHZ 16PF SMD | 24 MHz |
| LFXTAL059666REEL | IQD晶振 | CFPX-180 | CRYSTAL 26.0000MHZ 10PF SMD | 26 MHz |
| LFXTAL055316REEL | IQD晶振 | CFPX-180 | CRYSTAL 16.0000MHZ 10PF SMD | 16 MHz |
| LFXTAL075672REEL | IQD晶振 | CFPX-180 | CRYSTAL 12.0000MHZ 10PF SMD | 12 MHz |
| LFXTAL061673REEL | IQD晶振 | CFPX-180 | CRYSTAL 24.0000MHZ 12PF SMD | 24 MHz |
| LFXTAL063321REEL | IQD晶振 | CFPX-180 | CRYSTAL 25.0000MHZ 18PF SMD | 25 MHz |
| LFXTAL035522REEL | IQD晶振 | CFPX-180 | CRYSTAL 32.0000MHZ 9PF SMD | 32 MHz |
| LFXTAL055295REEL | IQD晶振 | CFPX-180 | CRYSTAL 12.0000MHZ 18PF SMD | 12 MHz |
| LFXTAL064703REEL | IQD晶振 | CFPX-180 | CRYSTAL 24.0000MHZ 18PF SMD | 24 MHz |
| LFXTAL078781RL3K | IQD晶振 | CFPX-180 | CRYSTAL 16.0000MHZ 12PF SMD | 16 MHz |
| LFXTAL061070REEL | IQD晶振 | CFPX-180 | CRYSTAL 12.0000MHZ 18PF SMD | 12 MHz |
| LFXTAL053099REEL | IQD晶振 | CFPX-180 | CRYSTAL 27.1200MHZ 10PF SMD | 27.12 MHz |
| LFXTAL009650REEL | IQD晶振 | CFPX-180 | CRYSTAL 16.0000MHZ 16PF SMD | 16 MHz |
| LFXTAL059648REEL | IQD晶振 | CFPX-180 | CRYSTAL 40.0000MHZ 18PF SMD | 40 MHz |
| LFXTAL055962REEL | IQD晶振 | CFPX-180 | CRYSTAL 30.0000MHZ 12PF SMD | 30 MHz |
| LFXTAL059800REEL | IQD晶振 | CFPX-180 | CRYSTAL 25.0000MHZ 10PF SMD | 25 MHz |
| LFXTAL082073REEL | IQD晶振 | CFPX-180 | CRYSTAL 24.0000MHZ 8PF SMD | 24 MHz |
| LFXTAL083409RL3K | IQD晶振 | CFPX-180 | CRYSTAL 26.0000MHZ 12PF SMD | 26 MHz |
| LFXTAL071177REEL | IQD晶振 | CFPX-180 | CRYSTAL 24.0000MHZ 9PF SMD | 24 MHz |
| LFXTAL051068REEL | IQD晶振 | CFPX-180 | CRYSTAL 25.0000MHZ 9PF SMD | 25 MHz |
| LFXTAL070868REEL | IQD晶振 | CFPX-180 | CRYSTAL 12.0000MHZ 18PF SMD | 12 MHz |
| LFXTAL059617REEL | IQD晶振 | CFPX-180 | CRYSTAL 18.4320MHZ 18PF SMD | 18.432 MHz |
| LFXTAL082072RL3K | IQD晶振 | CFPX-180 | CRYSTAL 20.0000MHZ 8PF SMD | 20 MHz |
| LFXTAL082073RL3K | IQD晶振 | CFPX-180 | CRYSTAL 24.0000MHZ 8PF SMD | 24 MHz |
| LFXTAL082075RL3K | IQD晶振 | CFPX-180 | CRYSTAL 30.0000MHZ 8PF SMD | 30 MHz |
| LFXTAL062461RL3K | IQD晶振 | CFPX-180 | CRYSTAL 27.1200MHZ 10PF SMD | 27.12 MHz |
| LFXTAL082078RL3K | IQD晶振 | CFPX-180 | CRYSTAL 50.0000MHZ 8PF SMD | 50 MHz |
| LFXTAL059815RL3K | IQD晶振 | CFPX-180 | CRYSTAL 27.1200MHZ 10PF SMD | 27.12 MHz |
| LFXTAL082070RL3K | IQD晶振 | CFPX-180 | CRYSTAL 13.5600MHZ 8PF SMD | 13.56 MHz |
| LFXTAL082074RL3K | IQD晶振 | CFPX-180 | CRYSTAL 27.0000MHZ 8PF SMD | 27 MHz |
| LFXTAL070065RL3K | IQD晶振 | CFPX-180 | CRYSTAL 24.0000MHZ 9PF SMD | 24 MHz |
| LFXTAL082077RL3K | IQD晶振 | CFPX-180 | CRYSTAL 40.0000MHZ 8PF SMD | 40 MHz |
| LFXTAL057997RL3K | IQD晶振 | CFPX-180 | CRYSTAL 16.0000MHZ 10PF SMD | 16 MHz |
| LFXTAL082069REEL | IQD晶振 | CFPX-180 | CRYSTAL 12.0000MHZ 8PF SMD | 12 MHz |
| LFXTAL009650RL3K | IQD晶振 | CFPX-180 | CRYSTAL 16.0000MHZ 16PF SMD | 16 MHz |

深圳市康華爾電子有限公司SHENZHEN KONUAER ELECTRONICS CO.,LTD
電 話:0755-27838351
手 機:13823300879
Q Q:632862232
E-mail:konuaer@163.com
網 址:http://m.fuleikeji.cn
地 址:廣東深圳市寶安寶安大道東95號浙商銀行大廈1905











業務經理