R?和Q在石英諧振器電路中代表的意義
來源:http://m.fuleikeji.cn 作者:康華爾電子 2019年04月27
以往探討或提供的石英晶體諧振器資料中,經常會提到諧振電阻和振動質量,是行業里比較專業的術語,一般不是從事晶體開發和設計的,會不理解是什么意思。先來說說這兩個的代號,諧振電阻是石英晶體電路布局圖里常見到的R1,而振動質量就是經常提到的Q值,下面是R1和Q值詳細的解說。
諧振電阻R1:
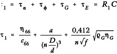
諧振電阻R1由諧振器的衰減產生。為了確定總衰減,有利的是引入阻尼常數J1=R1C1。厚度剪切振動的衰減主要是由以下原因引起的:材料J“的粘性阻尼,諧振器JN的有限尺寸的阻尼和氣體JG周圍的水晶振子的阻尼(在真空殼體中省略)和最可忽略的電阻,電極JE。

對于自然界中發現的石英(石英晶體),常數J“取決于材料的內部損耗,J”=10@10-15s。對于目前幾乎專用的合成石英,根據材料的質量等級,該值為10...18@10-15s。對于雙凸面諧振器a=5@10-10,對于平坦諧振器a=100@10-10,a的可實現的最小值取決于諧振器的形狀常數a。多面行星的值位于這兩個值之間。由于設計和制造變化的必要妥協,這些值最多為指定最小值的3倍,如果對其他參數有特殊要求,則更高(圖2.54)。
在給定固定諧振器尺寸的情況下不能低于給定產品R1C1的事實可能導致值C1被非常大的電極增加以便實現更小的諧振電阻。出于穩定性的原因,不鼓勵這樣做,因為由于振蕩區域的擴大,諧振器的邊緣不再處于振蕩靜止狀態,支架將影響厚度-剪切振蕩。此外,C1電路電容的大值對工作頻率的影響更大。這兩個因素都是不受歡相反,石英振蕩器電路應該設計成使得存在足夠的反饋儲備,特別是因為必須吸收溫度范圍內的諧振電阻的任何波動和諧振電阻的負載依賴性。由于半導體電路的放大系數通常受溫度和工作電壓波動的影響,因此設計沒有儲備的電路總是會導致問題,最近大量生產這些器件。

圖2.54.J1用于AT切割石英
振動質量Q:

限制在足夠大的諧振器直徑和抽空的殼體,因此在理想條件下由于材料的粘性損失。可達到的最大質量取決于頻率,隨著頻率的增加而降低(圖2.55):

圖2.55.AT剪切石英的振動質量
因此,在2...5MHz的頻率范圍內制造具有特別高的所需振動質量的時鐘晶振。另一方面,使用頻率高于200MHz的石英晶體沒有意義,因為短期穩定性(相位噪聲)由于質量下降而呈現出不利的值。在這種情況下,通過適當的電子倍頻,您將獲得更好的結果。
石英晶體和石英晶體振蕩器的設計相對來說,是比較復雜的,要了解和學習的知識理論和操作非常多,才能制造出一顆完整的晶振,雖然普通的諧振器結構簡單,但要讓它的穩定性和性能發揮到最好,都要依賴工程師們慎密的設計和開發。
諧振電阻R1:
諧振電阻R1由諧振器的衰減產生。為了確定總衰減,有利的是引入阻尼常數J1=R1C1。厚度剪切振動的衰減主要是由以下原因引起的:材料J“的粘性阻尼,諧振器JN的有限尺寸的阻尼和氣體JG周圍的水晶振子的阻尼(在真空殼體中省略)和最可忽略的電阻,電極JE。

對于自然界中發現的石英(石英晶體),常數J“取決于材料的內部損耗,J”=10@10-15s。對于目前幾乎專用的合成石英,根據材料的質量等級,該值為10...18@10-15s。對于雙凸面諧振器a=5@10-10,對于平坦諧振器a=100@10-10,a的可實現的最小值取決于諧振器的形狀常數a。多面行星的值位于這兩個值之間。由于設計和制造變化的必要妥協,這些值最多為指定最小值的3倍,如果對其他參數有特殊要求,則更高(圖2.54)。
在給定固定諧振器尺寸的情況下不能低于給定產品R1C1的事實可能導致值C1被非常大的電極增加以便實現更小的諧振電阻。出于穩定性的原因,不鼓勵這樣做,因為由于振蕩區域的擴大,諧振器的邊緣不再處于振蕩靜止狀態,支架將影響厚度-剪切振蕩。此外,C1電路電容的大值對工作頻率的影響更大。這兩個因素都是不受歡相反,石英振蕩器電路應該設計成使得存在足夠的反饋儲備,特別是因為必須吸收溫度范圍內的諧振電阻的任何波動和諧振電阻的負載依賴性。由于半導體電路的放大系數通常受溫度和工作電壓波動的影響,因此設計沒有儲備的電路總是會導致問題,最近大量生產這些器件。

圖2.54.J1用于AT切割石英
振動質量Q:

限制在足夠大的諧振器直徑和抽空的殼體,因此在理想條件下由于材料的粘性損失。可達到的最大質量取決于頻率,隨著頻率的增加而降低(圖2.55):

圖2.55.AT剪切石英的振動質量
因此,在2...5MHz的頻率范圍內制造具有特別高的所需振動質量的時鐘晶振。另一方面,使用頻率高于200MHz的石英晶體沒有意義,因為短期穩定性(相位噪聲)由于質量下降而呈現出不利的值。在這種情況下,通過適當的電子倍頻,您將獲得更好的結果。
石英晶體和石英晶體振蕩器的設計相對來說,是比較復雜的,要了解和學習的知識理論和操作非常多,才能制造出一顆完整的晶振,雖然普通的諧振器結構簡單,但要讓它的穩定性和性能發揮到最好,都要依賴工程師們慎密的設計和開發。
正在載入評論數據...
相關資訊
- [2023-09-01]IQD晶體處理注意事項
- [2023-09-01]ECS現代車輛中的計時
- [2023-06-29]石英晶體對溫度有多敏感?1MAA1...
- [2020-07-11]科普時間到!石英晶體技術指標定...
- [2019-09-20]正確的選擇晶體振蕩器類型其實可...
- [2019-08-27]MEMS硅晶振比陶瓷和石英多了哪些...
- [2019-07-29]簡單幾個步驟教你解決石英晶體無...
- [2019-07-20]TAITIEN解密Oscillator中的三態...




業務經理